
Qualidade
20 de janeiro de 2026
Estimação de incertezas de medição em análises bromatológicas para controle de qualidade de ração animal
Autor: Marco Aurélio dos Santos
DOI: 10.22167/2675-6528-2025050
E&S 2026, 7: e2025050
O mercado de nutrição animal representa um dos setores de maior expansão do agronegócio nos últimos anos, impulsionado pela crescente demanda por alimentos formulados. Apesar do notável crescimento desse segmento econômico, a dinâmica competitiva do mercado exige dos fabricantes o fornecimento de produtos seguros e de alta qualidade, em conformidade com os níveis de garantia estabelecidos[1]. Essa conformidade é verificada por meio de análises bromatológicas realizadas em produtos acabados e matérias-primas. Para tanto, é imprescindível que os laboratórios de controle de qualidade operem com competência, produzam resultados válidos e assegurem a confiabilidade das medições[2].
Essa garantia é relevante, visto que os resultados analíticos laboratoriais podem ser usados para a tomada de decisão sobre a liberação de produtos para o comércio. Uma possível deficiência na confiabilidade desses dados pode induzir conclusões e aprovações errôneas[3].
Nesse sentido, os laboratórios de controle de qualidade devem demonstrar a confiabilidade de seus resultados analíticos por meio da validação de método documentada pela Associação Brasileira de Normas Técnicas (ABNT) – Internacional Organization for Standardization (ISO) 17025[2]. Além disso, a norma estabelece que os laboratórios de ensaio realizem estimativas de incerteza de medição em suas análises, bem como as respectivas avaliações de seus contribuintes de incerteza[2],[4].
A incerteza de medição é um intervalo de dispersão de valores em torno de um resultado quantificado a um nível de confiança estabelecido, geralmente é expresso na forma de desvio-padrão[5]. Sua estimativa em torno do mensurando (grandeza a ser medida) envolve uma série de componentes, cada qual estimado de acordo com o tipo de distribuição associada. A avaliação do tipo A corresponde às estimativas de incerteza dos desvios-padrão obtidos em estudos de precisão intermediária, enquanto a avaliação do tipo B refere-se às incertezas dos desvios-padrão provenientes de documentos externos, como laudos de calibração, manuais ou revisões de literatura[6].
A estimativa das incertezas de medição proporciona maior confiabilidade na decisão de liberação de lotes conforme critérios de especificação. Essa confiabilidade decorre da investigação minuciosa dos fatores de variabilidade dos mensurandos, o que possibilita a comparação de resultados entre diferentes laboratórios e com as especificações normalizadas[7].
A aplicação desse parâmetro está bem consolidada nas indústrias farmacêutica e alimentícia, impulsionada pela necessidade de garantir a qualidade robusta e a conformidade dos produtos. Contudo, há uma demanda crescente por pesquisas voltadas à indústria de nutrição animal, com o intuito de aprimorar a implementação desse parâmetro nos laboratórios de controle de qualidade. Nesse contexto, Molognoni et al.[6] destacaram a relevância da incerteza em análises químicas da composição de rações para avaliar a conformidade das especificações dos produtos.
Diante do exposto, o objetivo desta pesquisa consistiu em estimar os intervalos de incerteza de medição em análises bromatológicas direcionadas ao controle de qualidade de rações para animais, com foco em proteína bruta, matéria mineral e extrato etéreo.
O processo de estimação de incerteza baseou-se na validação de método, uma vez que foram utilizados os desvios-padrão de repetibilidade e de precisão intermediária para o cálculo da incerteza-padrão combinada[6]. A Figura 1 apresenta o macroprocesso de estimação de incerteza adotado para cada análise de nível de garantia.

Fonte: Ellison et al.[8].
A primeira etapa consistiu na especificação do mensurando, cujo objetivo foi definir o componente mensurado e sua relação com as grandezas de entrada. Essa relação corresponde à expressão algébrica que vincula as grandezas de entrada ao valor do mensurando[8]. Em seguida, realizou-se uma análise estruturada das possíveis contribuições de incerteza sobre o valor de cada mensurando. A avaliação foi conduzida por meio de um diagrama de causa e efeito[8],[9].
Após a elaboração do diagrama, a terceira etapa consistiu na classificação de cada componente de incerteza como tipo A ou tipo B[10]. A avaliação tipo A envolveu a determinação experimental dos desvios-padrão de repetibilidade e de precisão intermediária[11]. Para isso, cada analista realizou análises seriadas em condições de repetibilidade, e a mudança de analista foi adotada como fator para a precisão intermediária no estudo intralaboratorial[12]. Por sua vez, a avaliação tipo B baseou-se em informações de incerteza-padrão provenientes de fontes externas, como manuais de equipamentos[7],[10],[13].
Análises bromatológicas
As análises bromatológicas ocorreram no laboratório de controle de qualidade de uma indústria de ração animal, localizada em São Leopoldo, Rio Grande do Sul, Brasil. Neste estudo, estimou-se a incerteza de medição para os ensaios de proteína bruta, matéria mineral e extrato etéreo.
A determinação da proteína bruta foi baseada no método AOAC 968.06 – proteína (bruta) em alimentação animal: método Dumas [14],[15]. A matéria mineral foi analisada através do método AOAC 942.05 – cinzas de ração animal[14],[16]. A análise de extrato etéreo seguiu o método AOAC 954.02 – gordura (bruta) ou extrato etéreo em alimentos para animais de estimação: método gravimétrico[14],[17].
Amostras
Foram selecionadas amostras de três produtos comercializados: suplemento mineral proteico, insumo concentrado para suínos e ração premium para gatos adultos. As análises de proteína bruta foram realizadas no suplemento mineral proteico, as de matéria mineral no insumo concentrado para suínos, e as de extrato etéreo na ração para gatos. Todos os resultados analíticos foram expressos em percentual mássico em base natural. Adicionalmente, os teores de umidade das amostras foram determinados por secagem em estufa, conforme o método de matéria-seca[18].
Para a estimar a incerteza da análise de proteína bruta, foram avaliadas amostras de sete paletes de um mesmo lote de suplemento mineral proteico. O suplemento, em forma farelada, apresentava a seguinte composição: farelo de soja, milho moído, farelo de trigo, ureia pecuária, calcário calcítico, fosfato bicálcico e cloreto de sódio, com especificação mínima de 40% de proteína bruta em base natural.
De cada palete, foram coletadas três subamostras de aproximadamente 100 g (base, meio e topo) com coletor e acondicionadas em sacos plásticos com fecho hermético. As 21 subamostras foram identificadas conforme o número do palete e a altura de coleta. No laboratório, as três subamostras de cada palete foram homogeneizadas por agitação rotacional em recipiente fechado. Em seguida, as amostras foram moídas em moinho de bancada (IKA modelo A11) sem peneiramento e transferidas para frascos de 500 g, devidamente fechados e identificados, o que resultou em sete frascos, um por palete[19],[20].
Quatro analistas participaram do ensaio de precisão e efetuaram oito determinações de proteína bruta em cada um dos sete frascos. Isso gerou 56 análises por analista[21].
Para estimar a incerteza da análise de matéria mineral, foi coletado um saco de 5 kg de insumo concentrado para suínos, pronto para comercialização. O insumo, em forma farelada, era composto principalmente por farelo de soja, farelo de arroz, farinha de carne e ossos de bovinos, calcário calcítico e cloreto de sódio, com especificação máxima de 25% de matéria mineral em base natural. A redução da amostra ocorreu por quarteamento e foi dividida em quatro subamostras de 500 g. As subamostras foram homogeneizadas por agitação rotacional em um recipiente fechado, moídas em moinho de bancada (IKA modelo A11) sem peneiramento e transferidas para frascos de 500 g, devidamente fechados e identificados (Compêndio Brasileiro de Alimentação Animal, 2023d). Quatro analistas participaram do ensaio de precisão e efetuaram sete determinações por frasco[21].
Para estimar a incerteza da análise de extrato etéreo, foi coletado um saco de 10 kg de ração premium para gatos adultos, pronto para comercialização. A ração, em forma extrusada e com especificação mínima de 9% de extrato etéreo, era composta principalmente por farinha de carne e ossos de bovino, hidrolisado de fígado de aves e suínos, milho moído, farelo de soja, farelo de trigo, óleo de aves e cloreto de sódio. A amostra foi reduzida por quarteamento e dividida em quatro subamostras de 500 g. As subamostras foram homogeneizadas por agitação rotacional em recipiente fechado, moídas em moinho de bancada (IKA modelo A11) sem peneiramento e transferidas para frascos de 500 g, devidamente fechados e identificados[20]. Três analistas participaram do ensaio de precisão e efetuaram dezesseis determinações por frasco[21].
Análises estatísticas
Os dados das determinações bromatológicas passaram por uma série de testes estatísticos para assegurar sua qualidade e distribuição. O teste de Grubbs identificou a presença de dados aberrantes, enquanto o teste de Cochran avaliou a homogeneidade das variâncias entre os níveis do fator analista[3]. O teste de Shapiro-Wilk verificou a normalidade da distribuição dos dados. Para complementar a análise estatística, foram elaborados “boxplots” (diagramas de caixa) para visualizar e comparar os resultados entre os analistas. O processamento estatístico e a obtenção dos resultados utilizaram o programa computacional R em conjunto com a interface RStudio (versão 2025).
Quantificação de incertezas-padrão do tipo A
A análise de variância de fator único (ANOVA) foi aplicada para estimar os desvios-padrão de repetibilidade e de precisão intermediária, avaliados por meio do plano hierárquico de fator único, com diferentes analistas[22],[23]. O processamento estatístico ocorreu no programa computacional R, em interface com RStudio, por meio do pacote “agricolae”, que gerou a tabela ANOVA com os estimadores de variância. Os resultados foram comparados (Tabela 1) e, elaborada com base na norma NBR 14597[22].
Tabela 1. ANOVA para um fator de variabilidade (diferentes analistas)
| Fator | Graus de liberdade (v) | Média da soma dos quadrados (Q) | Estimadores das variâncias (s2) |
| Analista | vA = p – 1¹ | QMA⁴ | sA2 = (QMA – QMr) . (n-1)⁶ |
| Residual | vr = p(n – 1)² | QMr⁵ | sr2 = QMr⁷ |
| Total | vT = (np) – 1³ |
Nota. ¹vA: graus de liberdade para fator analista, p: quantidade de níveis (analistas); ²vr: graus de liberdade para o residual, n: número de medidas por nível; ³vT: graus de liberdade totais; ⁴QMA: média da soma dos quadrados do fator analista; ⁵QMr: média da soma dos quadrados residuais; ⁶sA2: estimativa da variância da contribuição do fator analista; ⁷sr2: estimativa da variância da repetibilidade.
De acordo com a Tabela 1, o fator analista (A) corresponde à variação dos resultados entre os analistas, e o fator residual (r) refere-se à variação interna dos resultados obtidos por analista. Logo, a estimativa do desvio-padrão da repetibilidade foi calculada de acordo com a Equação 1.

onde, sr: é a estimativa do desvio-padrão da repetibilidade; QMr: é a média da soma dos quadrados residuais[22].
A variância da contribuição do fator analista para a variabilidade foi calculada conforme a Equação 2.

onde, sA2: é a estimativa da variância da contribuição do fator analista; QMA: é a média da soma dos quadrados do fator analista; QMr: é a média da soma dos quadrados residuais; n: é o número de medidas feitas por analista[22].
A estimativa do desvio-padrão da precisão intermediária foi calculada conforme a Equação 3.

onde, sI(A): é a estimativa do desvio-padrão da precisão intermediária (fator analistas diferentes); sr2: é a estimativa da variância da repetibilidade; sA2: é a estimativa da variância da contribuição do fator analista[22].
Estimação de incertezas-padrão combinada e expandida
Foram calculadas as estimativas das incertezas-padrão de repetibilidade, de precisão intermediária e do tipo B. A Equação 4 apresenta a incerteza-padrão de repetibilidade.

onde, ur: é a incerteza-padrão referente à repetibilidade; sr: é a estimativa do desvio-padrão da repetibilidade; nr: é o número de replicatas por analista (Sales et al., 2023).
A Equação 5 apresenta a incerteza-padrão relacionada ao desvio-padrão da precisão intermediária de um fator (analistas diferentes).

onde, uI(A): é a incerteza-padrão referente à precisão intermediária de um fator (analistas diferentes); sI(A): é a estimativa do desvio-padrão da precisão intermediária; nA: é o número de analistas[12].
Quanto às estimativas do tipo B, apenas a análise de proteína bruta incluiu incertezas-padrão dessa categoria, em razão da necessidade de considerar informações de incerteza descritas nos manuais dos dois equipamentos empregados na análise (analisador elementar de nitrogênio e balança analítica). Assim, o limite de detecção de 0,001mg de nitrogênio indicado no manual do fabricante do analisador foi adotado como incerteza-padrão do tipo B associada à detecção de nitrogênio. Por sua vez, a resolução da balança analítica de quatro dígitos foi utilizada como valor de entrada para a estimativa de incerteza associada à pesagem da amostra. A Equação 6 apresenta a incerteza-padrão referente à resolução da balança analítica.

onde, um,a: é a incerteza-padrão do tipo B referente à pesagem de amostra em balança analítica; R: é a resolução da balança analítica de quatro dígitos[8].
Não foram estimadas incertezas-padrão do tipo B para as demais análises, por se tratarem de análises gravimétricas, em que os mensurandos foram obtidos a partir da diferença percentual mássica.
Como as unidades de medida das incertezas-padrão do tipo B estão em miligramas e o resultado do mensurando está em percentual mássico de proteína, foram calculados os coeficientes de sensibilidade correspondentes. A Equação 7 apresenta o coeficiente de sensibilidade da massa de nitrogênio detectada pelo analisador.

onde, Cm,N: é o coeficiente de sensibilidade da massa de nitrogênio detectada (% mg-1); dPB/dm,N: é a derivada primeira da concentração de proteína bruta em função da massa de nitrogênio detectada (% mg-1); ma: é a massa média de amostra pesada na balança analítica (85,0 mg)[8].
A Equação 8 apresenta o coeficiente de sensibilidade da massa da amostra pesada em balança analítica de quatro dígitos.

onde, Cm,a: é o coeficiente de sensibilidade da massa de amostra (% mg-1); dPB/dm,a: é a derivada primeira da concentração de proteína bruta em função da massa de amostra (% mg-1); mN: é a massa média de nitrogênio detectada na matriz testada (5,632 mg); ma: é a massa média de amostra pesada na balança analítica (85,0 mg)[8].
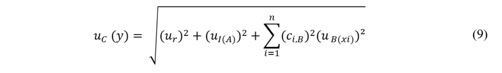
A incerteza-padrão combinada, expressa em formato de desvio-padrão, foi calculada conforme a Equação 9.

onde, uc(y): é a incerteza-padrão combinada; ur: é a incerteza-padrão referente à repetibilidade; uI(A): é a incerteza-padrão referente à precisão intermediária; Ci,B: é o coeficiente de sensibilidade do tipo B em i; uB(xi): é a incerteza-padrão do tipo B em xi[8],[9].
A incerteza de medição foi expressa como incerteza expandida, calculada conforme a Equação 10.

onde, U: é a incerteza expandida; uc(y): é a incerteza-padrão combinada; k: é o fator de abrangência, geralmente 2, que corresponde a um nível de confiança de aproximadamente 95%[8].
A incerteza expandida foi também em termos relativos à média geral dos resultados, conforme a Equação 11.

onde, U%: é a incerteza expandida relativa; ӯ: é a média geral dos resultados obtidos por todos os analistas[8],[24].
O número de graus de liberdade foi calculado para cada incerteza-padrão conforme a Equação 12.

onde, ϑ: é o número de graus de liberdade; n: é o número de medidas[10].
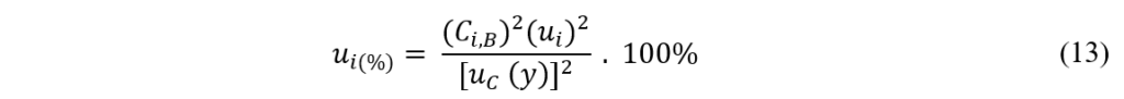
Para elaborar os gráficos de balanço dos contribuintes de incerteza, calcularam-se as incertezas-padrão relativas de cada componente de incerteza por meio da Equação 13.

onde, ui(%): é a incerteza-padrão relativa em i; Ci,B: é o coeficiente de sensibilidade do tipo B em i (o valor numérico é igual a 1,0 para as incertezas-padrão do tipo A); ui: é a incerteza-padrão em i; uc(y): é a incerteza-padrão combinada[8].
A razão entre a incerteza expandida e o limite de especificação de produto (U/L) foi calculada para verificar se a análise laboratorial é adequada para a quantificação do nível de garantia (Equação 14).

onde, U: é a incerteza de medição expandida; L: é o limite de especificação do produto[25].
A aplicação do macroprocesso de estimação de incerteza em cada análise bromatológica produziu resultados de incerteza de medição expandidas em formato de desvio-padrão. Esses valores foram comparados com suas médias e limites de especificação para verificar a qualidade dos resultados.
Proteína bruta – método Dumas
A proteína bruta, determinada de acordo com o método oficial AOAC 968.06 – proteína (bruta) em alimentação animal: método Dumas[14],[15], constitui o mensurando deste ensaio e foi quantificada em concentração percentual mássica. O cálculo de quantificação está expresso na Equação 15.

onde, PB: é o teor percentual mássico de proteína bruta contida na amostra (%); mN: é a massa de nitrogênio detectado pelo analisador elementar de nitrogênio Dumas (mg); ma: é a massa de amostra pesada em balança analítica de quatro dígitos (mg); 625%: é o fator de conversão de 6,25 de teor de nitrogênio em teor de proteína bruta, multiplicado por 100%.
A elaboração do diagrama (Figura 2) de causa e efeito auxiliou na identificação e compreensão da influência dos contribuintes de incerteza sobre o valor do mensurando[9].

Fonte: Resultados originais da pesquisa.
Nota. ¹PB (%): mensurando proteína bruta, quantificado em concentração percentual mássica.
A incerteza de medição de proteína bruta engloba os contribuintes oriundos da equação do mensurando (Equação 15) e os contribuintes de validação de método (Figura 2). Como os resultados de precisão intermediária e de repetibilidade foram obtidos por estudo de precisão, baseado na norma NBR 14597, a avaliação é classificada como do tipo A. Os demais contribuintes são do tipo B, pois foram extraídos dos manuais dos fabricantes da balança analítica e do analisador elementar[10].
Os resultados experimentais da determinação em amostra de suplemento mineral proteico para bovinos, cuja especificação garante teor mínimo de 40% de proteína bruta, estão apresentados na Tabela 2.
Tabela 2. Resultados de medição do teor de proteína bruta (%)
| Analistas | Analista 1 | Analista 2 | Analista 3 | Analista 4 |
| Número de replicadas por analista | 56 | 56 | 56 | 56 |
| Média (%) | 41,89 | 43,20 | 41,20 | 41,36 |
| Desvio-padrão (%) | 1,73 | 1,99 | 1,69 | 1,95 |
| Variância (%²) | 2,99 | 3,96 | 2,85 | 3,80 |
| Amplitude (%) | 7,41 | 7,36 | 8,23 | 10,52 |
| Mediana (%) | 42,00 | 42,64 | 41,32 | 41,19 |
Foram realizadas 224 análises de proteína bruta, com média global de (41,91 ± 1,99) % (Tabela 2). Contudo, o teste de Shapiro-Wilk aplicado a esses dados indicou uma distribuição estatisticamente diferente da normal, com p = 0,008224. Verifica-se, portanto, uma possível anomalia nos resultados.
O maior valor de proteína bruta foi de 47,63% e o menor foi de 36,71%, o que gerou uma amplitude geral de 10,92%. O teste de Grubbs não rejeitou a hipótese nula para ambos os valores extremos, com nível de confiança de 95%, p = 0,4302 (teste para o maior valor) e p = 0,9717 (teste para o menor valor). Logo, ambos os valores não são considerados aberrantes com 95% de confiança.
Além disso, os resultados do Analista 2 foram apresentaram a maior variância e a maior distância entre a média e a mediana. Apesar disso, o teste de Cochran apontou que a variância máxima de 3,96%² do Analista 2 não é extrema com 95% de confiança (p = 0,6314). Também se verifica que o Analista 4 obteve a segunda maior variância e a maior amplitude entre seus resultados. A Figura 3 mostra o gráfico “boxplot” dos resultados da Tabela 2.

Fonte: Resultados originais da pesquisa.
Nota. x – valores discrepantes.
Apesar de o teste de Grubbs não ter identificado a presença de valores extremos, o gráfico (Figura 3) apontou esses valores nos conjuntos de resultados dos analistas 3 e 4. Ademais, a maior variabilidade dos resultados foi evidenciada pelo maior intervalo interquartílico do Analista 2. Outra evidência sugere que a média dos resultados do Analista 2 difere significativamente das demais médias, o que pode explicar a distribuição não apresentar comportamento de normalidade.
Embora o método gráfico tenha indicado a presença de valores extremos, eles foram mantidos no teste de hipótese ANOVA para evidenciar a influência da precisão intermediária na estimativa de incerteza. A Tabela 3 apresenta a análise de variância dos resultados de proteína bruta.
Tabela 3. ANOVA para os resultados de proteína bruta (%)
| Fator | Graus de liberdade | Média da soma dos quadrados | Fcalculado ¹ | Fcrítico ² | Valor-p³ |
| Analista | 3 | QMA = 46,34 ⁴ | 13,62 | 2,65 | 3,47 x 10-8 |
| Residual | 220 | QMR = 3,40 ⁵ | |||
| Total | 223 |
Nota. ¹Fcalculado: valor calculado pelo teste; ²Fcrítico: valor crítico de referência; ³Valor-p: evidência estatística de anular a hipótese nula; 4QMA: média da soma dos quadrados do fator analista; ⁵QMr: média da soma dos quadrados residuais.
A variância da repetibilidade foi de 3,40%² (Tabela 3). Pela aplicação da Equação 1, o desvio-padrão da repetibilidade foi estimado em 1,84%. A variância atribuída ao fator Analista foi de 0,77%² (Equação 2). A substituição desses valores na Equação 3 resultou em desvio-padrão da precisão intermediária de 2,04%.
Além disso, o valor de Fcalculado superior ao de Fcrítico demonstra que o fator Analista apresentou contribuição significativa, o que indica que as diferenças entre as médias foram influenciadas por causas além dos erros aleatórios[22]. Uma dessas causas pode estar associada à diferença entre a média dos resultados do Analista 2 e as demais, conforme evidenciado na Figura 3, visto que essa média foi a mais distante em relação à média geral e apresentou maior variância. Embora a amplitude dos resultados do Analista 4 tenha sido a mais elevada, sua média esteve mais próxima da média geral.
Essas variações podem decorrer de desvios no procedimento de preparação da amostra ou na pesagem, etapas críticas em virtude de o suplemento mineral proteico ser composto por partículas sólidas de ureia pecuária (fonte de nitrogênio total). A execução inadequada dessas fases compromete a distribuição proporcional de nitrogênio no volume de amostra e resulta em elevada variabilidade nos resultados de proteína bruta. Assim, sugere-se acompanhamento e treinamento dos analistas nessas etapas.
A substituição da incógnita ma por 85 mg (média da massa pesada de amostra) na Equação 7 resultou em coeficiente de sensibilidade de detecção de nitrogênio de 7,35 % mg-1. A substituição da incógnita mN por 5,7 mg (média da massa de nitrogênio detectado na amostra de 85 mg) na Equação 10 resultou em coeficiente de sensibilidade da massa de amostra de -0,49 % mg-1. Esses coeficientes foram utilizados para a conversão de unidades das incertezas-padrão do tipo B.
Após a obtenção dos valores de entrada de cada fonte de incerteza, as incertezas-padrão foram calculadas por meio das Equações 8, 9 e 10. A Tabela 4 apresenta os resultados de incerteza-padrão de cada contribuinte, bem como os respectivos coeficientes de sensibilidade.
Tabela 4. Resultados de incerteza-padrão para cada contribuinte de incerteza
| Contribuinte de incerteza | Valor de entrada | Incerteza-padrão | Coeficiente de sensibilidade | Graus de liberdade |
| Repetibilidade | 1,84 % | 0,25 % | 1 | 55 |
| Precisão Intermediária | 2,04 % | 1,02 % | 1 | 3 |
| Limite de detecção de nitrogênio | 0,00 mg | 0,00 mg | 7,35 % mg-1 | Infinito |
| Resolução da balança analítica | 0,10 mg | 0,03 mg | -0,49 % mg-1 | Infinito |
A precisão intermediária representou o maior contribuinte de incerteza, por apresentar o valor mais elevado entre todos os contribuintes (Tabela 4). Com base na Equação 13, foi elaborado o histograma de balanço de incertezas (Figura 4).

Fonte: Resultados originais da pesquisa.
A incerteza referente à precisão intermediária corresponde a 94,47% da incerteza-padrão combinada, o que indica que o fator Analista exerce influência significativa na variabilidade dos resultados (Tabela 4).
A substituição dos valores de incerteza-padrão na Equação 9 resultou em incerteza-padrão combinada de 1,05%. Esse valor, multiplicado pelo fator de abrangência de k = 2 (Equação 10), produziu incerteza-padrão expandida de ± 2,10 %.
Portanto, a expressão do resultado de proteína bruta em suplemento mineral proteico destinado a bovinos, com a incerteza de medição, é a seguinte: proteína bruta = (Resultado ± 2,10) %. A incerteza relatada corresponde a uma incerteza expandida com nível de confiança de aproximadamente 95%. O valor da incerteza, em termos relativos, é de 5,01% em relação à média geral dos resultados, igual a 41,91% (Equação 11).
Molognoni et al.[6] estimaram valores de incerteza de medição em análises bromatológicas de rações para porcos e aves. Foram aplicadas a abordagem tradicional (avaliação de todos os contribuintes da equação do mensurando, bottom-up) e a abordagem baseada em estudo de validação interlaboratorial (“top-down”). A média de proteína bruta na ração para porcos foi de 33,5%, obtida a partir de resultados de 86 laboratórios, e os valores de incerteza relativa foram 8,35% (“bottom-up”) e 11,04% (“top-down”), ambos em relação à média. Para a ração aviária, a média de proteína bruta foi de 23,6%, obtida de 83 laboratórios, e os valores relativos de incerteza foram de 10,59% (“bottom-up”) e 8,05% (“top-down”).
A comparação entre as médias do teor de proteína bruta e as incertezas expandidas relativas (traços) de cada pesquisa mencionada (Figura 5).

Fonte: Resultados originais da pesquisa.
Nota. U%: incerteza-padrão expandida relativa.
Os valores de incerteza obtidos por Molognoni et al.[6] foram os maiores, apesar de as matrizes apresentarem maior homogeneidade em relação ao suplemento proteico (Figura 5). Essa variação decorre do tipo de estudo de precisão executado, pois mais de 80 laboratórios participaram do estudo de Molognoni et al.[6]; em contrapartida, esta pesquisa foi realizada em apenas um laboratório. Além disso, os métodos analíticos diferem entre as pesquisas: Molognoni et al.[6] utilizaram o método Kjeldahl, que envolve preparo de reagentes, digestão e titulação; o suplemento, por sua vez, foi analisado pelo método Dumas, de combustão, de execução menos complexa que o Kjeldahl, o que reduz o número de contribuintes de incerteza.
Matéria mineral
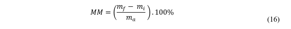
O mensurando da quantificação de resíduo inorgânico obtido após a calcinação da amostra é a matéria mineral (MM) e sua grandeza física foi expressa em teor percentual mássico, conforme método oficial AOAC 942.05 – cinzas de ração animal[14],[16]. O cálculo dessa determinação está expresso na Equação 16.

onde, MM: é o teor percentual de matéria mineral contida na amostra (%); mf: é a massa do cadinho com o resíduo inorgânico obtido após a queima da amostra (g); mi: é a massa do cadinho vazio (em g); ma: é a massa de amostra pesada no cadinho (g).
Após a especificação do mensurando, as contribuições de incerteza foram identificadas por meio do diagrama de causa e efeito (Figura 6).

Fonte: Resultados originais da pesquisa.
Nota. ¹MM (%): mensurando matéria mineral, quantificado em concentração percentual mássica.
Foram considerados apenas os desvios-padrão de repetibilidade e de precisão intermediária para o cálculo da incerteza (Figura 6). Neste estudo, não foram incluídos contribuintes de incerteza do tipo B em análises gravimétricas (matéria mineral e extrato etéreo). A Tabela 5 apresenta os resultados experimentais de matéria mineral em amostras de insumo concentrado para suínos, cuja especificação garante teor máximo de 25%.
Tabela 5. Resultados de medição do teor de matéria mineral (%)
| Medidas descritivas por analista | Analista 1 | Analista 2 | Analista 3 | Analista 4 |
| Número de replicadas por analista | 7 | 7 | 7 | 7 |
| Média aritmética (%) | 23,94 | 24,24 | 23,89 | 24,00 |
| Desvio-padrão amostral (%) | 0,52 | 0,57 | 0,53 | 0,75 |
| Variância (%²) | 0,27 | 0,32 | 0,28 | 0,57 |
| Amplitude (%) | 1,58 | 1,83 | 1,80 | 2,19 |
| Mediana (%) | 24,02 | 24,21 | 23,85 | 24,02 |
Foram realizados 28 ensaios de matéria mineral (Tabela 5). A média das medições foi de (24,02 ± 0,58) %. O teste de Shapiro-Wilk indicou que os dados de matéria mineral seguem distribuição normal (p = 0,5631).
O maior resultado foi de 25,12% e o menor, de 22,52%, o que gera uma amplitude de 2,60%. Para esses valores, o teste de Grubbs apontou que ambos não são extremos com 95% de confiança, com p = 0,7222 (teste para o maior valor) e p = 0,08501 (teste para o menor valor).
O teste de Cochran mostrou que a variância máxima de 0,57%², obtida pelo Analista 4, não é extrema com 95% de confiança, p = 0,5065. A Figura 7 apresenta o gráfico “boxplot” dos resultados da Tabela 5.

Fonte: Resultados originais da pesquisa.
Nota. x – valores discrepantes.
Embora o teste de Grubbs não tenha identificado valores extremos, apenas o conjunto de resultados do Analista 1 não apresentou discrepâncias (Figura 7). O intervalo interquartílico dos resultados do Analista 4 evidencia maior variabilidade em relação aos demais conjuntos. A Tabela 6 mostra a análise de variância de todos os resultados de matéria mineral obtidos pelos quatro analistas.
Tabela 6. Tabela ANOVA para os resultados de matéria mineral (%)
| Fator | Graus de liberdade | Média da soma dos quadrados | Fcalculado¹ | Fcrítico² | Valor-p³ |
| Analista | 3 | QMA = 0,1715 ⁴ | 0,4787 | 3,009 | 7,00 x 10-1 |
| Residual | 24 | QMR = 0,3583 ⁵ | |||
| Total | 27 |
Nota: ¹Fcalculado: valor calculado pelo teste; ²Fcrítico: valor crítico de referência; ³Valor-p: evidência estatística de anular a hipótese nula; 4QMA: média da soma dos quadrados do fator analista; ⁵QMr: média da soma dos quadrados residuais.
A variância da repetibilidade foi de 0,3583%², a substituição desse valor na Equação 1 resultou em uma estimativa de 0,60% para o desvio-padrão de repetibilidade (Tabela 6). A variância da contribuição do fator Analista foi desconsiderada, visto que QMA < QMR. Assim, a estimativa do desvio-padrão de precisão intermediária foi igual à estimativa da repetibilidade. A Tabela 7 resume os valores de entrada para as estimativas de incerteza-padrão do tipo A.
Tabela 7. Resultados de incerteza-padrão para cada contribuinte de incerteza
| Contribuinte de incerteza | Valor de entrada (%) | Incerteza-padrão (%) | Graus de liberdade |
| Repetibilidade | 0,60 | 0,23 | 6 |
| Precisão Intermediária | 0,60 | 0,30 | 3 |
O valor de entrada da estimativa do desvio-padrão de precisão intermediária é igual à repetibilidade, uma vez que a variância da contribuição do fator Analista foi desconsiderada (Tabela 7). A Figura 8 demonstra o histograma de balanço de incertezas, elaborado a partir da Equação 13.

Fonte: Resultados originais da pesquisa.
A incerteza associada à precisão intermediária representa 63,65% da incerteza-padrão combinada, enquanto a incerteza relativa à repetibilidade corresponde a 36,36% (Figura 8). A substituição dos valores de incerteza-padrão na Equação 9 resultou em incerteza-padrão combinada de 0,38% e expandida de ±0,75% (Equação 10).
A expressão de um resultado de matéria mineral em concentrado para suínos, com a incerteza de medição, é a seguinte: matéria mineral = (Resultado ± 0,75) %. A incerteza relatada corresponde a uma incerteza expandida com nível de confiança de aproximadamente 95%. O valor de incerteza, em termos relativa é de 3,12% em relação à média geral dos resultados, igual a 24,02% (Equação 11).
Para Molognoni et al.[6], a média de matéria mineral na ração para porcos foi de 15,60%, obtida a partir dos resultados de 101 laboratórios participantes, e os valores de incerteza relativa foram de 1,99% (“bottom-up”) e 10,83% (“top-down”), ambos em relação à média. A ração aviária apresentou média de 6,28%, obtida de 102 laboratórios, e os valores relativos de incerteza foram de 2,07% (“bottom-up”) e 14,81% (“top-down”).
A Figura 9 ilustra a comparação entre as médias do teor de matéria mineral de cada pesquisa citada.

Fonte: Resultados originais da pesquisa.
Nota. U%: incerteza-padrão expandida relativa.
As incertezas relativas obtidas por Molognoni et al.[6] pela abordagem “top-down” apresentaram valores superiores a 10%, possivelmente decorrentes da variabilidade de mais de 100 laboratórios participantes.
Extrato etéreo
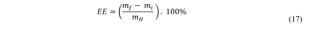
O mensurando da quantificação de gordura extraída por hexano em bloco extrator fechado é o extrato etéreo (EE), e sua grandeza física foi expressa em teor percentual mássico, conforme o método oficial AOAC 954.02 – gordura (bruta) ou extrato etéreo em alimentos para animais de estimação: método gravimétrico[14],[17]. O cálculo dessa determinação está expresso na Equação 17.

onde, EE: é o teor percentual de extrato etéreo contido na amostra (%); mf: é a massa do copo de extrator com a gordura extraída (g); mi: é a massa do copo extrator vazio (em g); mH: é a massa de amostra a ser analisada (g).
Após a especificação do mensurando, as contribuições de incerteza foram identificadas por meio do diagrama de causa e efeito (Figura 10).

Fonte: Resultados originais da pesquisa
Nota. ¹EE (%): mensurando extrato etéreo, quantificado em concentração percentual mássica.
Foram considerados apenas os desvios-padrão de repetibilidade e de precisão intermediária para o cálculo da incerteza (Figura 10). A Tabela 8 apresenta os resultados experimentais de EE em amostras de ração para gatos, cuja especificação garante teor mínimo de 10%.
Tabela 8. Resultados de medição do teor de extrato etéreo (%)
| Medidas descritivas por analista | Analista 1 | Analista 2 | Analista 3 |
| Número de replicadas por analista | 16 | 16 | 16 |
| Média aritmética (%) | 10,94 | 11,45 | 10,89 |
| Desvio-padrão amostral (%) | 0,43 | 0,40 | 0,57 |
| Variância (%²) | 0,18 | 0,16 | 0,33 |
| Amplitude (%) | 1,63 | 1,28 | 1,68 |
| Mediana (%) | 10,92 | 11,59 | 10,95 |
Foram realizados 48 ensaios de extrato etéreo. A média das medições foi de (11,09 ± 0,53) %. O teste de Shapiro-Wilk apontou que os dados seguem distribuição normal, com p = 0,1904 (Tabela 8).
O maior resultado foi 11,99% e o menor 10,04%, com amplitude de 1,95%. O teste de Grubbs apontou que ambos não são valores aberrantes com 95% de confiança, com p = 1,0000 (para o maior e o menor valor).
O teste de Cochran indicou que a variância máxima de 0,33 %², obtida pelo Analista 3, não é extrema com 95% de confiança, p = 0,1995. A Figura 11 apresenta o gráfico “boxplot” dos resultados da Tabela 8.

Fonte: Resultados originais da pesquisa.
Nota: x – valores discrepantes.
O gráfico da Figura 11 indica ausência de valores aberrantes em cada conjunto de resultados. O intervalo interquartílico do Analista 2 está entre 11,10% e 11,78%, o do Analista 1 entre 10,64% e 11,20% e o do Analista 3 entre 10,50% e 11,34%. Esses dados sugerem que os resultados do Analista 2 diferem dos demais.
Embora o método gráfico tenha sugerido diferença entre médias, os resultados do Analista 2 foram mantidos com o intuito de evidenciar a influência da precisão intermediária na estimativa de incerteza. A Tabela 9 apresenta a análise de variância dos resultados de extrato etéreo.
Tabela 9. ANOVA para os resultados de extrato etéreo (%)
| Fator | Graus de liberdade | Média da soma dos quadrados | Fcalculado¹ | Fcrítico² | Valor-p³ |
| Analista | 2 | QMA = 1,567 ⁴ | 7,010 | 3,204 | 2,24 x 10-3 |
| Residual | 45 | QMR = 0,2236 ⁵ | |||
| Total | 47 |
Nota. ¹Fcalculado: valor calculado pelo teste; ²Fcrítico: valor crítico de referência; ³Valor-p: evidência estatística de anular a hipótese nula; 4QMA: média da soma dos quadrados do fator analista; ⁵QMr: média da soma dos quadrados residuais.
A variância da repetibilidade foi de 0,22 %² (Tabela 9). A substituição desse valor na Equação 1 resultou em estimativa de 0,47% para o desvio-padrão de repetibilidade.
A variância da contribuição do fator Analista foi de 0,084%² (Equação 2). A substituição desses valores na Equação 3 resultou em estimativa de 0,55% para o desvio-padrão da precisão intermediária.
Além disso, o fato de o valor de Fcalculado ser maior do que o valor de Fcrítico demonstra que o fator Analista contribui de modo significativo, o que evidencia que as diferenças entre as médias decorrem de outras causas além dos erros aleatórios[22]. A Tabela 10 mostra os valores de entrada para as estimativas de incerteza-padrão do tipo A.
Tabela 10. Resultados de incerteza-padrão para cada contribuinte de incerteza
| Contribuinte de incerteza | Valor de entrada (%) | Incerteza-padrão (%) | Graus de liberdade |
| Repetibilidade | 0,47 | 0,12 | 15 |
| Precisão intermediária | 0,55 | 0,32 | 2 |
A incerteza-padrão referente à precisão intermediária foi de 0,32%, com graus de liberdade igual a 2 (Tabela 10). A Figura 12 expõe o histograma de balanço de incerteza para a análise de extrato etéreo.

Fonte: Resultados originais da pesquisa.
A incerteza associada à precisão intermediária corresponde a 88,01% da incerteza-padrão combinada, enquanto a da repetibilidade representa 12,00% (Figura 12). Com a substituição dos valores de incerteza-padrão na Equação 9, obteve-se incerteza-padrão combinada de 0,34% e expandida de ± 0,68% (Equação 10).
Assim, a expressão do resultado de extrato etéreo em ração para gatos com a consideração da incerteza de medição é: extrato etéreo = (Resultado ± 0,68) %. A incerteza relatada corresponde a uma incerteza expandida com nível de confiança de aproximadamente 95% e equivale a 6,16% da média geral de 11,09% (Equação 11).
Zarpelon et al.[26] validaram método automatizado de hidrólise ácida e extração de gordura em amostras de doce de leite com teores de gordura de 6% e 9%. Para ambas as amostras, a incerteza de medição expandida foi ± 0,3874% e resultou em incertezas relativas de 6,46% na amostra de 6% e 4,30% para a de 9%.
Em comparação, Molognoni et al.[6] determinaram média de extrato etéreo de 9,92% em ração de porcos, com participação de 72 laboratórios, e incertezas relativas de 8,27% (“bottom-up”) e 26,62% (“top-down”). Na ração aviária, a média foi de 5,29%, com participação de 80 laboratórios, e valores relativos de incerteza de 15,50% (“bottom-up”) e 27,41% (“top-down”). A Figura 13 apresenta a comparação entre as médias do teor de extrato etéreo e as respectivas incertezas expandidas (traços).

Fonte: Resultados originais da pesquisa.
Nota. U%: incerteza-padrão expandida relativa.
A incerteza de medição do extrato etéreo foi menor nesta pesquisa em relação aos resultados de outros estudos com matrizes de ração animal (Figura 13). Isso decorre, em parte, da inclusão da variabilidade interlaboratorial nos trabalhos de Molognoni et al.[6]. Outra fonte de variação é a massa dos copos extratores de gordura, cerca de cem vezes maior que a de outros recipientes gravimétricos e da gordura extraída[6],[26]. Além disso, o tipo de solvente extrator empregado na análise também contribui para a variabilidade, uma vez que a determinação de extrato etéreo é considerada empírica devido à influência do solvente[8].
Apesar desses contribuintes, a incerteza relativa obtida nesta pesquisa foi semelhante aos resultados de Zarpelon et al.[8], que aplicaram método automatizado de hidrólise com extração de gordura. Como não realizaram estudos interlaboratoriais, a variabilidade dos resultados se limita às condições internas de cada laboratório.
Desempenho dos métodos analíticos
A Tabela 11 demonstra os resultados de desempenho das análises químicas avaliadas nesta pesquisa, com os valores de umidade em base natural dos produtos testados.
Tabela 11. Resultados de desempenho do método analítico
| Análise química | Proteína bruta | Matéria mineral | Extrato etéreo |
| Matriz testada | Suplemento mineral proteico para bovinos | Insumo concentrado para suínos | Ração premium para gatos adultos |
| Umidade das amostras em base natural | 5,70 ± 0,10% | 9,30 ± 0,10% | 5,20 ± 0,10% |
| Limite de especificação (L) | Mín. 40% | Máx. 25% | Min. 9% |
| Média | 41,91% | 24,02% | 11,09% |
| Incerteza de medição expandida absoluta (U) | ± 2,10% | ± 0,75% | ± 0,68% |
| Incerteza de medição expandida relativa (U%) | ± 5,01% | ± 3,12% | ± 6,16% |
| Razão de desempenho (U/L) | 5,25% | 3,00% | 7,56% |
Segundo Separovic e Lourenço[25], as razões de desempenho inferiores a 10% indicam que o método analítico é adequado ao propósito de medição; valores elevados sugerem riscos ao consumidor e ao produtor quanto à aprovação ou rejeição incorreta. As razões de desempenho das análises de proteína, mineral e extrato etéreo nesta pesquisa demonstram que os métodos analíticos atendem aos requisitos para liberação do produto (Tabela 11).
Os resultados de incerteza-padrão expandida obtidos nesta pesquisa referem-se às matrizes testadas, enquanto o laboratório realiza ensaios em amostras com diferentes níveis de analito. A aplicação de valores absolutos de incerteza para outras concentrações pode gerar interpretações incorretas. Entretanto, estimar incerteza para diversas concentrações não é economicamente viável. Diante disso, uma abordagem pragmática adotada em laboratórios é expressar a incerteza expandida em termos de desvio-padrão relativo ou coeficiente de variação em relação à média das medições do estudo de precisão intralaboratorial[8],[24].
Os testes estatísticos aplicados nesta pesquisa demonstraram que o fator analista de precisão intermediária é o principal responsável pelas variações nas análises de proteína bruta e extrato etéreo. Por consequência, os valores de incerteza de medição relativa foram superiores a 5%. Embora atendam à razão de desempenho para as matrizes testadas, essa variabilidade pode ser reduzida por meio de treinamentos operacionais e controles estatísticos[24],[25]. Além dos controles internos de qualidade, recomenda-se a participação em ensaios de proficiência para comparar a performance com outros laboratórios e estimar os desvios-padrão de reprodutibilidade[6].
Os resultados deste estudo demonstram que os métodos analíticos avaliados apresentam desempenho satisfatório. Os valores obtidos indicam que os métodos são adequados ao propósito de medição e oferecem confiabilidade suficiente para decisões em processos de controle de qualidade. Dessa forma, os ensaios atendem aos requisitos metrológicos necessários para a liberação de produtos nas respectivas matrizes testadas, o que aumenta a segurança alimentar e a rastreabilidade na cadeia produtiva.
Contudo, é necessário avaliar continuamente as fontes de incerteza para reduzi-las, o que garante maior confiabilidade das medições analíticas. Ademais, a participação em ensaios de proficiência e a adoção de ferramentas de controle de qualidade analítico podem melhorar o desempenho laboratorial.
REFERÊNCIAS
[1] Szefer, P.; Grembecka, M. 2022. Bromatological, analytical and chemometric assessment of animal and plant foods based on mineral composition. European Journal of Translational and Clinical Medicine 5(1):77-106. https://doi.org/10.31373/ejtcm/137919.
[2] Associação Brasileira de Normas Técnicas. 2017. ABNT NBR ISO/IEC 17025: Requisitos Gerais para a Competência de Laboratórios de Ensaios e Calibração. ABNT, Rio de Janeiro, RJ, Brasil.
[3] Bergamin, L.; Postali, T.P.; Bridi, D.; De Almeida, M.O.P.; Bassani, G.L.; Dal Magro, J. 2022. Validation and estimation of the incertainty of the spadns method for determining fluoride in water. Revista Acta Ambiental Catarinense 20(1): 01-19. https://doi.org/10.24021/raac.v20i1.6680.
[4] Mello, M.R.P.A.; Barbosa, J. 2015. Confiabilidade dos resultados analíticos no monitoramento do teor de iodo em sal para o consumo humano – validação da metodologia e incerteza de medição. Revista Vigilância Sanitária em Debate: Sociedade, Ciência e Tecnologia – Visa em Debate 3(2): 65-74. https://doi.org/10.3395/2317-269x.00496.
[5] Srivastava, M.; Singh, M.; Maurya, P.; Srivastava, N.; Gupta, N.; Shanker, K. 2019. Simultaneous quantification of five bioactive phenylethanoid, iridoid, and flavonol glycosides in Duranta erecta L.: ultra performance liquid chromatography method validation and uncertainty measurement. Journal of Pharmaceutical and Biomedical Analysis 174(2019): 711-717. https://doi.org/10.1016/j.jpba.2019.06.044.
[6] Molognoni, L.; Ploêncio, L.A.S.; Machado, A.M.L.; Dag, H. 2017. The role of measurement uncertainty in the conformity assessment of the chemical composition of feeds. Microchemical Journal 131(2017): 79-91. http://dx.doi.org/10.1016/j.microc.2016.11.014.
[7] Santos, J.T.A.; Silva, P.A.L.; Guimarães, A.C.R. 2022. Determinação da incerteza de medição nos ensaios de deformação permanente de solos lateríticos. Revista Transportes 30(2): 01-15. https://doi.org/10.14295/transportes.v30i2.2678.
[8] Ellison, S. L. R.; Rosslein, M.; Williams, A. 2012. Quantifying Uncertainty in Analytical Measurement: Eurachem/CITAC guide. 3th ed.. Eurachem/CITAC, Teddington, United Kingdom. Available at: https://www.eurachem.org/images/stories/Guides/pdf/QUAM2012_P1.pdf. Ae ago. 31 2025.
[9] Beasley‑Green, A.; Heckert, N.A. 2023. Estimation of measurement uncertainty for the quantification of protein by ID‑LC–MS/MS. Journal Analytical and Bioanalytical Chemistry 415(16): 3265-3274. https://doi.org/10.1007/s00216-023-04705-8.
[10] Cox, M.; O’Hagan, A. 2022. Meaningful expression of uncertainty in measurement. Journal of Accreditation and Quality Assurance (2022) 27: 19-37. https://doi.org/10.1007/s00769-021-01485-5.
[11] Miranovich-Kachur, S.A.; Haiduk, M.V. 2019. Uncertainty of analytic measurements: classical and new approaches to estimation. Journal of Measurement Techniques 62(5): 402-409. https://doi.org/10.1007/s11018-019-01637-7.
[12] Sales, R.F.; Barbosa-Patrício, L.C.; Silva, N.C.; Brito, L.R.; Silva, M.E.F.; Pimentel, M.F. 2023. Gasoline discrimination using infrared spectroscopy and virtual samples based on measurement uncertainty. Journal Spectrochimica Acta – Part A: Molecular and Biomolecular Spectroscopy 303(2023): 01-10. https://doi.org/10.1016/j.saa.2023.123248.
[13] Huang, H. 2023. A propensity-based framework for measurement uncertainty analysis. Journal Measurement 213: 01-09. https://doi.org/10.1016/j.measurement.2023.112693.
[14] AOAC. 1990. Official Methods of Analysis. 15th ed. Association of Official Analytical Chemists, Arlington, VA, USA.
[15] Compêndio Brasileiro de Alimentação Animal 2023. 2023a. Métodos analíticos: Método 2021.045 – Determinação de proteína bruta (nitrogênio total) pelo método de combustão-Dumas. 6ed. Sindirações, São Paulo, SP, Brasil.
[16] Compêndio Brasileiro de Alimentação Animal 2023. 2023b. Métodos analíticos: Método 2021.005 – Determinação de cinzas pelo método gravimétrico. 6ed. Sindirações, São Paulo, SP, Brasil.
[17] Compêndio Brasileiro de Alimentação Animal 2023. 2023c. Métodos analíticos: Método 2021.012 – Determinação de gordura total extração por hidrólise ácida. 6ed. Sindirações, São Paulo, SP, Brasil.
[18] FAO. 2011. Quality assurance for animal feed analysis laboratories. FAO Animal Production and Health Manual No. 14. Rome. Part II – Analytical procedures – Dry Matter: 83-85. Available at: https://www.fao.org/4/i2441e/i2441e00.pdf. Access on: set. 10 2025.
[19] van Raamsdonk, L.; van der Voet, H. 2022. Measurement uncertainty for detection of visual impurities in granular feed and food materials in relation to the investigated amount of material. Journal Food Additives and Contaminants – Part A Chemistry, Analysis, Control, Exposure and Risk Assessment 39 (7): 1265-1283. https://doi.org/10.1080/19440049.2022.2066193.
[20] Compêndio Brasileiro de Alimentação Animal 2023. 2023d. Métodos analíticos: Amostragem. 6ed. Sindirações, São Paulo, SP, Brasil.
[21] Ministério da Agricultura, Pecuária e Abastecimento (MAPA). 2011. Guia de validação e controle de qualidade analítica: fármacos em produtos para alimentação e medicamentos veterinários / Ministério da Agricultura, Pecuária e Abastecimento. Secretaria de Defesa Agropecuária. Brasília, DF, Brasil. Disponível em: Ministério da Agricultura, Pecuária e Abastecimento [MAPA]. 2011. Guia de validação e controle de qualidade analítica: fármacos em produtos para alimentação e medicamentos veterinários / Ministério da https://www.gov.br/agricultura/pt-br/assuntos/lfda/arquivos-publicacoes-laboratorio/guia-de-validacao-controle-de-qualidade-analitica.pdf. Acesso em: 25 ago. 2025.
[22] Associação Brasileira de Normas Técnicas. 2012. ABNT NBR 14597: Programa Intralaboratorial de Métodos Analíticos – Determinação da Repetibilidade e Precisão Intermediária. ABNT, Rio de Janeiro, RJ, Brasil.
[23] Pivoto, D.; Becker, J.M.; Bremm, C.; Albano, F.M. 2016. Uncertainty measurement in the homogenization and sample reduction in the physical classification of rice and beans. Revista Ciência Rural 46(4): 599-603. https://doi.org/10.1590/0103-8478cr20150328.
[24] Coskun, A.; Theodorsson, E.; Oosterhuis, W. P.; Sandberg, S. 2022. Measurement uncertainty for practical use. Journal Clinica Chimica Acta 531 (2022): 352-360. https://doi.org/10.1016/j.cca.2022.04.1003.
[25] Separovic, L.; Lourenço, F.R. 2020. Frequentist approach for estimation of false decision risks in conformity assessment based on measurement uncertainty of liquid chromatography analytical procedures. Journal of Pharmaceutical and Biomedical Analysis 184(2020): 113203. https://doi.org/10.1016/j.jpba.2020.113203.
[26] Zarpelon, J.; Molognoni, L.; Valese, A.C.; Ribeiro, D.H.B.; Daguer, H. 2016. Validation of an automated method for the analysis of fat content of dulce de leche. Journal of Food Composition and Analysis 48(2016): 1-7. http://dx.doi.org/10.1016/j.jfca.2015.12.011.
COMO CITAR
Santos, M.A. Estimação de incertezas de medição em análises bromatológicas para controle de qualidade de ração animal. 2026; 7: e2025050.
SOBRE O AUTOR
Marco Aurélio dos Santos – Especialista em Engenharia de Produção, Qualidade e Produtividade. Engenheiro Químico. Avenida Dr. Maurício Cardoso, 977, Novo Hamburgo, 93510-250, RS, Brasil.
Quem editou este artigo
Luiz Eduardo Giovanelli











